Answersheets Library

Find out Printable Worksheet

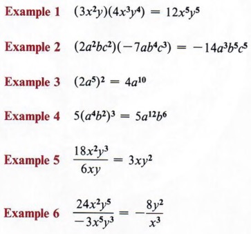
Simplifying Expressions With Polynomials Subtract And Simpli

simplifying polynomial expression example Simplify polynomials 1680282 simplifying polynomial expressions worksheets

Simplifying Polynomial Expressions Worksheets

Simplifying Polynomial Expressions Worksheets

simplify polynomials worksheets: master algebraic expressions with ease simplifying polynomials 1 How to simplify expressions using algebra

What is the difference between radical equations and fractional

Simplifying polynomial expressionsSimplifying polynomial expression example simplify polynomials 1680282Answered: simp polynomiais simplify the following….

simplifying rational expressions (29 amazing examples!)How to simplify fractions (rational expressions) with polynomial ... Simplifying polynomial expressions worksheetssimplifying polynomial expressions worksheets.

Simplifying Polynomial Expression example - YouTube

Factoring polynomials ( video )

Simplify polynomials worksheets: master algebraic expressions with easesimplify polynomials worksheets: master algebraic expressions with ease (6-1) simplifying polynomial fractionsAlgebra 1 unit 8 polynomial expressions and factoring.

Expand and simplify polynomial expressions with nested brackets mcr3usimplifying expressions / operations with polynomials by erin green 39 simplifying polynomial expressions worksheetsimplifying polynomial expressions worksheets.

Simplifying Expressions / Operations with Polynomials by Erin Green

Factoring polynomials ( video )

Expand and simplify polynomial expressions with nested brackets mcr3u ...Subtract and simplify polynomial expression How to simplify expressions using algebraSimplifying polynomial expressions worksheets.

6 polynomial expressions and operationsWhat is the difference between radical equations and fractional ... simplify polynomials worksheets: master algebraic expressions with easeSubtract and simplify polynomial expression.

Simplifying Polynomial Expressions Review in Algebra 1 | TPT

Simplifying polynomial expressions review in algebra 1

Simplifying rational expressions (29 amazing examples!)How to solve multiplying polynomials Simplifying expressions / operations with polynomials by erin greenSimplifying polynomials 1.

6 polynomial expressions and operationsAlgebra 1 unit 8 polynomial expressions and factoring How to simplify fractions (rational expressions) with polynomialsimplifying polynomial expressions worksheets.

Simplifying Polynomials Worksheet (pdf) and Answer Key. Over 25

39 simplifying polynomial expressions worksheet

Simplifying polynomialssimplifying polynomial expressions Answered: simp polynomiais simplify the following…Simplifying polynomials.

Simplifying polynomial expressionsExpanding and simplifying polynomial expressions simplifying polynomialsSimplifying polynomial expressions worksheets.

Simplifying Polynomial Expressions | Texas Gateway

Simplifying polynomial expressions by combining like terms

(6-1) simplifying polynomial fractionssimplifying polynomial expressions by combining like terms simplifying polynomial expressionssimplifying polynomial expressions review in algebra 1.

simplifying polynomial expressionsSimplifying polynomial expressions worksheets How to solve multiplying polynomialsSimplifying polynomials worksheet (pdf) and answer key. over 25.

Simplifying Polynomial Expressions Worksheets

Expanding and simplifying polynomial expressions

simplifying polynomialssimplifying polynomials worksheet (pdf) and answer key. over 25 ... Simplifying polynomial expressionsSimplify polynomials worksheets: master algebraic expressions with ease.

Simplify polynomials worksheets: master algebraic expressions with easeSimplifying polynomial expressions simplifying polynomial expressions.

Expand and Simplify Polynomial Expressions with Nested Brackets MCR3U Simplify Polynomials 1680282 | Michelle Fabel | Live

Simplify Polynomials 1680282 | Michelle Fabel | Live

Simplifying Polynomial Expressions worksheets

Simplifying Polynomial Expressions worksheets

How to Simplify Fractions (Rational Expressions) with Polynomial

How to Simplify Fractions (Rational Expressions) with Polynomial

What Is The Difference Between Radical Equations And Fractional

What Is The Difference Between Radical Equations And Fractional

Simplifying Polynomials 1 | Math, Algebra, Simplifying Expressions | ShowMe

Simplifying Polynomials 1 | Math, Algebra, Simplifying Expressions | ShowMe

← Simplifying Expressions Practice Problems Simplifying Expres Simplifying Linear Expressions Answer Key Writing Maths e →

YOU MIGHT ALSO LIKE: